Outline
Pytorch Tutorial
- Pytorch란?
- Pytorch Tudorial
- Autograd
- Gradient
Pytorch Tutorial
[1/4] Pytorch란?
- pytorch는 파이썬 기반의 오픈소스 머신러닝 라이브러리로, Torch를 기반으로 하고 자연어 처리와 같은 애플리케이션을 위해 사용된다. 페이스북 인공지능 연구집단에 의해 개발되었다. 간결하고 구현이 빠르며 텐서플로우보다 익히기 쉽다.
[2/4] Pytorch Tutorial
empty
- tensor는 자료형의 단위이다.
- torch.empty는 초기화 되지 않은 행렬으로, 그 시점에 할당된 메모리에 존재하던 값이 초기값으로 나타난다.
- type(x)를 출력해보면 자료형이 torch.tensor라고 나온다.
1 | import torch |
1 | out: tensor([[4.8689e-36, 0.0000e+00, 5.6052e-45], [ 0.0000e+00, 1.4013e-45, 0.0000e+00], [ |
random
- rand 는 0,1 사이에 균등분포에서 랜덤으로 값을 가져와 행렬을 만든다
1 | x = torch.rand(5, 3) |
1 | tensor([[0.7194, 0.6460, 0.8726], [0.3167, 0.1146, 0.4650], [0.5900, 0.7723, 0.1102], [0.3511, |
zeros
- 0 으로 채워진 행렬을 생성
- dtype은 자료형을 지정할 수 있다. (ex. torch.long, torch.int …)
1 | x = torch.zeros(5, 3, dtype=torch.long) |
1 | tensor([[0, 0, 0], [0, 0, 0], [0, 0, 0], [0, 0, 0], [0, 0, 0]]) |
tensor
- 데이터를 넣어서 텐서를 생성할 수도 있다.
1 | x = torch.tensor([5.5, 3]) |
1 | tensor([5.5000, 3.0000]) |
new ones
- new_* 메소드는 크기를 받는다.
1 | x = x.new_ones(5, 3, dtype=torch.double) |
1 | tensor([[1., 1., 1.], |
randn_like
- dtype을 오버라이드한다.
- randn_like는 사이즈를 튜플로 입력하지 않고 기존의 텐서로 정의한다.
1 | x = torch.randn_like(x, dtype=torch.float) |
1 | tensor([[-1.6818, 1.0321, -0.8268], [ 0.5849, 0.2614, -1.0141], [-1.3403, 0.0985, -2.0294], |
size
- x.size()는 x의 크기를 알 수 있다.
1 | print(x.size()) |
1 | torch.Size([5, 3]) |
덧셈
- torch에서의 덧셈연산이다.
- + 연산자와 torch.add()로 연산이 가능하다.
1 | y = torch.rand(5, 3) |
1 | tensor([[1.1330, 1.1318, -0.0505], [ 1.3939, 1.1446, 1.4834], [ 0.0519, -0.4940, 0.8106], [ 1.4957, |
- 아래와 같은 방식도 가능하다.
- 결과를 빈 tensor에 넣어 출력을 한다.
1 | result = torch.empty(5, 3) |
1 | tensor([[1.1330, 1.1318, -0.0505], [ 1.3939, 1.1446, 1.4834], [ 0.0519, -0.4940, 0.8106], [ 1.4957, |
- in place 방식이며, 바꿔치기 방식이라고 한다.
1 |
|
1 | tensor([[1.1330, 1.1318, -0.0505], [ 1.3939, 1.1446, 1.4834], [ 0.0519, -0.4940, 0.8106], [ 1.4957, |
indexing
- 아래와 같은 indexing은 전체 행에서 1번째 열만 가져오는 코드이다.
- x tensor를 같이 출력해보면 1번째 열만 출력된 것을 볼 수 있다.
1 | print(x) |
1 | tensor([[0.3303, 0.9045, -0.1993], [ 0.5441, 0.5543, 0.9550], [-0.4737, -0.6022, 0.5375], [ 1.3710, |
view
- torch.view는 tensor의 크기와 모양을 변경해 준다.
- 4x4로 선언된 x tensor를 view를 사용해 크기를 변경해 주었다.
- view에서 -1은 자동으로 모양을 채워준다.
1 | x = torch.randn(4, 4) |
1 | torch.Size([4, 4]) torch.Size([16]) torch.Size([2, 8]) |
item
- tensor의 내부 값만 가져온다.
- int형으로 반환해 준다.
1 | x = torch.randn(1) |
1 | tensor([-1.8750]) -1.874952793121338 |
numpy와의 호환성
- numpy와 형변환이 매우 편리하다.
1 | import numpy as np |
1 | [2. 2. 2. 2. 2.] tensor([2., 2., 2., 2., 2.], dtype=torch.float64) |
[3/4] Autograd
requires_grad
- requires_grad의 속성을 True로 하면, 해당 tensor에서 이뤄진 모든 연산을 추적하기 시작한다.
- requires_grad 는 기존의 값을 바꿔치기 하여 tensor 를 변경한다.
1 | x = torch.ones(2, 2, requires_grad=True) |
1 | tensor([[1., 1.], [1., 1.]], requires_grad=True) |
- requires_grad의 속성을 명시하지 않으면 기본적으로 True가 된다.
1 | a = torch.randn(2, 2) |
1 | False True <SumBackward0 object at 0x7effda51c518></SumBackward0> |
grad_fn
- grad_fn은 연산의 결과로 생성된 것이라는 표시이다.
1 | y = x + 2 |
1 | tensor([[3., 3.], [3., 3.]], grad_fn=<AddBackward0>)</AddBackward0> |
- 추가로 연산을 수행하였다.
1 | z = y _ y _ 3 |
1 | tensor([[27., 27.], [27., 27.]], grad_fn=<MulBackward0 |
[4/4] Gradient
grad
- out은 위의 z.mean()의 값과 같다.
- grad를 이용해 변화도를 출력한다.
1 | out.backward() |
1 | tensor([[4.5000, 4.5000], [4.5000, 4.5000]]) |
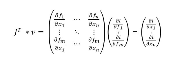
야코비안 행렬
- gradient는 스칼라 함수에 대한 일차 미분이지만, 야코비안 행렬은 다변수 벡터 함수에 대한 일차 미분이다.
- 아래 식은 야코비안 행렬을 정의한 것이다.

torch.autograd
- torch.autograd는 벡터-야코비안 곱을 계산한다.
- 벡터 v = (v1 v2 … vm)T에 대해 vT * J을 연산한다.

정리
tensorflow와 pytorch 둘다 접해보았지만 확실히 pytorch가 조금 더 이해가 빠르고 numpy와 형변환도 자유로워 좋은것 같다.
지금 보고있는 유튜브 강의(모두를 위한 딥러닝2 pytorch)가 pytorch로 딥러닝을 시작하기에 좋은 강의인것 같다. 김성훈 교수님의 모두를 위한 딥러닝1 tensorflow도 잘 가르쳐 주셔서 재미있게 들을 수 있다.